Login required to View Regulations

Sign In or Register Now.  Registration is fast and free!

 
§178.275 — Specification for UN Portable Tanks intended for the transportation of liquid and solid hazardous materials
 
(a)
In addition to the requirements of §178.274, this section sets forth definitions and requirements that apply to UN portable tanks intended for the transportation of liquid and solid hazardous materials.
 
(b)
Definitions and requirements
 
(1)
Design pressure means the pressure to be used in calculations required by the recognized pressure vessel code. The design pressure must not be less than the highest of the following pressures:
 
(i)
The maximum effective gauge pressure allowed in the shell during filling or discharge; or
 
(ii)
The sum of —
 
[A]
The absolute vapor pressure (in bar) of the hazardous material at 65 °C, minus 1 bar (149 °F, minus 100 kPa);
 
[B]
The partial pressure (in bar) of air or other gases in the ullage space, resulting from their compression during filling without pressure relief by a maximum ullage temperature of 65 °C (149 °F) and a liquid expansion due to an increase in mean bulk temperature of 35 °C (95 °F); and
 
[C]
A head pressure determined on the basis of the forces specified in §178.274(c) of this subchapter, but not less than 0.35 bar (35 kPa).
 
(2)
Maximum allowable working pressure (MAWP) means a pressure that must not be less than the highest of the following pressures measured at the top of the shell while in operating position:
 
(i)
The maximum effective gauge pressure allowed in the shell during filling or discharge; or
 
(ii)
The maximum effective gauge pressure to which the shell is designed which must be not less than the design pressure.
 
(c)
Service equipment.
 
(1)
In addition to the requirements specified in §178.274, for service equipment, all openings in the shell, intended for filling or discharging the portable tank must be fitted with a manually operated stop-valve located as close to the shell as reasonably practicable. Other openings, except for openings leading to venting or pressure relief devices, must be equipped with either a stop-valve or another suitable means of closure located as close to the shell as reasonably practicable.
 
(2)
All portable tanks must be fitted with a manhole or other inspection openings of a suitable size to allow for internal inspection and adequate access for maintenance and repair of the interior. Compartmented portable tanks must have a manhole or other inspection openings for each compartment.
 
(3)
For insulated portable tanks, top fittings must be surrounded by a spill collection reservoir with suitable drains.
 
(4)
Piping must be designed, constructed and installed to avoid the risk of damage due to thermal expansion and contraction, mechanical shock and vibration. All piping must be of a suitable metallic material. Welded pipe joints must be used wherever possible.
 
(d)
Bottom openings.
 
(1)
Certain hazardous materials may not be transported in portable tanks with bottom openings. When the applicable T code or portable tank special provision, as referenced for materials in the §172.101 Table of this subchapter, specifies that bottom openings are prohibited, there must be no openings below the liquid level of the shell when it is filled to its maximum permissible filling limit. When an existing opening is closed, it must be accomplished by internally and externally welding one plate to the shell.
 
(2)
Bottom discharge outlets for portable tanks carrying certain solid, crystallizable or highly viscous hazardous materials must be equipped with at least two serially fitted and mutually independent shut-off devices. Use of only two shut-off devices is only authorized when this paragraph is referenced in the applicable T Code indicated for each hazardous material in the §172.101 Table of this subchapter. The design of the equipment must be to the satisfaction of the approval agency and must include:
 
(i)
An external stop-valve fitted as close to the shell as reasonably practicable; and
 
(ii)
A liquid tight closure at the end of the discharge pipe, which may be a bolted blank flange or a screw cap.
 
(3)
Except as provided in paragraph (d)(2) of this section, every bottom discharge outlet must be equipped with three serially fitted and mutually independent shut-off devices. The design of the equipment must include:
 
(i)
A self-closing internal stop-valve, which is a stop-valve within the shell or within a welded flange or its companion flange, such that:
 
[A]
The control devices for the operation of the valve are designed to prevent any unintended opening through impact or other inadvertent act;
 
[B]
The valve is operable from above or below;
 
[C]
If possible, the setting of the valve (open or closed) must be capable of being verified from the ground;
 
[D]
Except for portable tanks having a capacity less than 1,000 liters (264.2 gallons), it must be possible to close the valve from an accessible position on the portable tank that is remote from the valve itself within 30 seconds of actuation; and
 
[E]
The valve must continue to be effective in the event of damage to the external device for controlling the operation of the valve;
 
(ii)
An external stop-valve fitted as close to the shell as reasonably practicable;
 
(iii)
A liquid tight closure at the end of the discharge pipe, which may be a bolted blank flange or a screw cap; and
 
(iv)
For UN portable tanks, with bottom outlets, used for the transportation of liquid hazardous materials that are Class 3, PG I or II, or PG III with a flash point of less than 100 °F (38 °C); Division 5.1, PG I or II; or Division 6.1, PG I or II, the remote means of closure must be capable of thermal activation. The thermal means of activation must activate at a temperature of not more than 250 °F (121 °C).
 
(e)
Pressure relief devices. All portable tanks must be fitted with at least one pressure relief device. All relief devices must be designed, constructed and marked in accordance with the requirements of this subchapter.
 
(f)
Vacuum-relief devices.
 
(1)
A shell which is to be equipped with a vacuum-relief device must be designed to withstand, without permanent deformation, an external pressure of not less than 0.21 bar (21.0 kPa). The vacuum-relief device must be set to relieve at a vacuum setting not greater than -0.21 bar (-21.0 kPa) unless the shell is designed for a higher external over pressure, in which case the vacuum-relief pressure of the device to be fitted must not be greater than the tank design vacuum pressure. A shell that is not fitted with a vacuum-relief device must be designed to withstand, without permanent deformation, an external pressure of not less than 0.4 bar (40.0 kPa).
 
(2)
Vacuum-relief devices used on portable tanks intended for the transportation of hazardous materials meeting the criteria of Class 3, including elevated temperature hazardous materials transported at or above their flash point, must prevent the immediate passage of flame into the shell or the portable tank must have a shell capable of withstanding, without leakage, an internal explosion resulting from the passage of flame into the shell.
 
(g)
Pressure relief devices.
 
(1)
Each portable tank with a capacity not less than 1,900 liters (501.9 gallons) and every independent compartment of a portable tank with a similar capacity, must be provided with one or more pressure relief devices of the reclosing type. Such portable tanks may, in addition, have a frangible disc or fusible element in parallel with the reclosing devices, except when the applicable T code assigned to a hazardous material requires that the frangible disc precede the pressure relief device, according to paragraph (g)(3) of this section, or when no bottom openings are allowed. The pressure relief devices must have sufficient capacity to prevent rupture of the shell due to over pressurization or vacuum resulting from filling, discharging, heating of the contents or fire.
 
(2)
Pressure relief devices must be designed to prevent the entry of foreign matter, the leakage of liquid and the development of any dangerous excess pressure.
 
(3)
When required for certain hazardous materials by the applicable T code or portable tank special provision specified for a hazardous material in the §172.101 Table of this subchapter, portable tanks must have a pressure relief device consistent with the requirements of this subchapter. Except for a portable tank in dedicated service that is fitted with an approved relief device constructed of materials compatible with the hazardous material, the relief device system must include a frangible disc preceding (such as, between the lading and the reclosing pressure relief device) a reclosing pressure relief device. A pressure gauge or suitable tell-tale indicator for the detection of disc rupture, pin-holing or leakage must be provided in the space between the frangible disc and the pressure relief device to allow the portable tank operator to check to determine if the disc is leak free. The frangible disc must rupture at a nominal pressure 10% above the start-to-discharge pressure of the reclosable pressure relief device.
 
(4)
Every portable tank with a capacity less than 1,900 liters (501.9 gallons) must be fitted with a pressure relief device which, except as provided in paragraph (g)(3) of this section, may be a frangible disc when this disc is set to rupture at a nominal pressure equal to the test pressure at any temperature within the design temperature range.
 
(5)
When the shell is fitted for pressure discharge, a suitable pressure relief device must provide the inlet line to the portable tank and set to operate at a pressure not higher than the MAWP of the shell, and a stop-valve must be fitted as close to the shell as practicable to minimize the potential for damage.
 
(6)
Setting of pressure relief devices.
 
(i)
Pressure relief devices must operate only in conditions of excessive rise in temperature. The shell must not be subject to undue fluctuations of pressure during normal conditions of transportation.
 
(ii)
The required pressure relief device must be set to start to discharge at a nominal pressure of five-sixths of the test pressure for shells having a test pressure of not more than 4.5 bar (450 kPa) and 110% of two-thirds of the test pressure for shells having a test pressure of more than 4.5 bar (450 kPa). A self-closing relief device must close at a pressure not more than 10% below the pressure at which the discharge starts. The device must remain closed at all lower pressures. This requirement does not prevent the use of vacuum-relief or combination pressure relief and vacuum-relief devices.
 
(h)
Fusible elements. Fusible elements must operate at a temperature between 110 °C (230 °F) and 149 °C (300.2 °F), provided that the pressure in the shell at the fusing temperature will not exceed the test pressure. They must be placed at the top of the shell with their inlets in the vapor space and in no case may they be shielded from external heat. Fusible elements must not be utilized on portable tanks with a test pressure which exceeds 2.65 bar (265.0 kPa); however, fusible elements are authorized on portable tanks for the transportation of certain organometallic materials in accordance with §172.102, special provision TP36 of this subchapter. Fusible elements used on portable tanks intended for the transport of elevated temperature hazardous materials must be designed to operate at a temperature higher than the maximum temperature that will be experienced during transport and must be designed to the satisfaction of the approval agency.
 
(i)
Capacity of pressure relief devices.
 
(1)
The reclosing pressure relief device required by paragraph (g)(1) of this section must have a minimum cross sectional flow area equivalent to an orifice of 31.75 mm (1.3 inches) diameter. Vacuum-relief devices, when used, must have a cross sectional flow area not less than 284 mm² (11.2 inches²).
 
(2)
The combined delivery capacity of the pressure relief system (taking into account the reduction of the flow when the portable tank is fitted with frangible-discs preceding spring-loaded pressure-relief devices or when the spring-loaded pressure-relief devices are provided with a device to prevent the passage of the flame), in condition of complete fire engulfment of the portable tank must be sufficient to limit the pressure in the shell to 20% above the start to discharge pressure limiting device (pressure relief device). The total required capacity of the relief devices may be determined using the formula in paragraph (i)(2)(i)(A) of this section or the table in paragraph (i)(2)(iii) of this section.
 
(i)
 
[A]
To determine the total required capacity of the relief devices, which must be regarded as being the sum of the individual capacities of all the contributing devices, the following formula must be used:

Where:

Q = minimum required rate of discharge in cubic meters of air per second (m³/s) at conditions: 1 bar and 0 °C (273 °K);

F = for uninsulated shells: 1; for insulated shells: U(649−t)/13.6 but in no case, is less than 0.25

Where:

U = heat transfer coefficient of the insulation, in kW m−2K−1, at 38°C (100°F); and t = actual temperature of the hazardous material during filling (in °C) or when this temperature is unknown, let t = 15°C (59°F). The value of F given in this paragraph (i)(2)(i)(A) for insulated shells may only be used if the insulation is in conformance with paragraph (i)(2)(iv) of this section;

T = absolute temperature in Kelvin (°C + 273) above the pressure relief devices in the accumulating condition;

The value of F given in this paragraph (i)(2)(i)(A) for insulated shells may only be used if the insulation is in conformance with paragraph (i)(2)(iv) of this section;

A = total external surface area of shell in square meters;

Z = the gas compressibility factor in the accumulating condition (when this factor is unknown, let Z equal 1.0);

T = absolute temperature in Kelvin ( °C + 273) above the pressure relief devices in the accumulating condition;

L = the latent heat of vaporization of the liquid, in kJ/kg, in the accumulating condition;

M = molecular weight of the hazardous material.

 
[B]
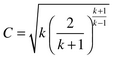
The constant C, as shown in the formula in paragraph (i)(2)(i)(A) of this section, is derived from one of the following formulas as a function of the ratio k of specific heats:

Where:

cp is the specific heat at constant pressure; and

cv is the specific heat at constant volume.

 
[C]
When k >1:
 
[D]
When k = 1 or k is unknown, a value of 0.607 may be used for the constant C. C may also be taken from the following table:

C Constant Value Table

kC
1.000.607
1.020.611
1.040.615
1.060.620
1.080.624
1.100.628
1.120.633
1.140.637
1.160.641
1.180.645
1.200.649
1.220.652
1.240.656
1.260.660
1.280.664
1.300.667
1.320.671
1.340.674
1.360.678
1.380.681
1.400.685
1.420.688
1.440.691
1.460.695
1.480.698
1.500.701
1.520.704
1.540.707
1.560.710
1.580.713
1.600.716
1.620.719
1.640.722
1.660.725
1.680.728
1.700.731
2.000.770
2.200.793
 
(ii)
As an alternative to the formula in paragraph (i)(2)(i)(A) of this section, relief devices for shells used for transporting liquids may be sized in accordance with the table in paragraph (i)(2)(iii) of this section. The table in paragraph (i)(2)(iii) of this section assumes an insulation value of F = 1 and must be adjusted accordingly when the shell is insulated. Other values used in determining the table in paragraph (i)(2)(iii) of this section are:

L = 334.94 kJ/kg;

M = 86.7;

T = 394 °K;

Z = 1; and

C = 0.607.

 
(iii)
Minimum emergency vent capacity, Q, in cubic meters of air per second at 1 bar and 0 °C (273 °K) shown in the following table:

Minimum Emergency Vent Capacity

[Q Values]

A Exposed area (square meters)Q (Cubic meters of air per second)A Exposed area (square meters)Q (Cubic meters of air per second)
20.23037.52.539
30.320402.677
40.40542.52.814
50.487452.949
60.56547.53.082
70.641503.215
80.71552.53.346
90.788553.476
100.85957.53.605
120.998603.733
141.13262.53.860
161.263653.987
181.39167.54.112
201.517704.236
22.51.670754.483
251.821804.726
27.51.969854.967
302.115905.206
32.52.258955.442
352.4001005.676
 
(iv)
Insulation systems, used for the purpose of reducing venting capacity, must be specifically approved by the approval agency. In all cases, insulation systems approved for this purpose must —
 
[A]
Remain effective at all temperatures up to 649 °C (1200 °F); and
 
[B]
Be jacketed with a material having a melting point of 700 °C (1292 °F) or greater.
 
(j)
Approval, inspection and testing. Approval procedures for UN portable tanks are specified in §178.273. Inspection and testing requirements are specified in §180.605 of this subchapter.

[66 FR 33445, June 21, 2001, as amended at 68 FR 32414, May 30, 2003; 69 FR 76185, Dec. 20, 2004; 73 FR 57006, Oct. 1, 2008; 76 FR 3388, Jan. 19, 2011]

   Reason: