Login required to View Regulations

Sign In or Register Now.  Registration is fast and free!

 
§173.433 — Requirements for determining basic radionuclide values, and for the listing of radionuclides on shipping papers and labels
 
(a)
For individual radionuclides listed in the table in §173.435 and §173.436:
 
(1)
A1 and A2 values are given in the table in §173.435; and
 
(2)
Activity concentration exemption values and consignment activity exemption values are given in the table in §173.436.
 
(b)
For individual radionuclides which are not listed in the tables in §173.435 or §173.436 or for which no relevant data are available:
 
(1)
the radionuclide values in Tables 7 or 8 of this section may be used; or
 
(2)
other basic radionuclide values may be used provided they are first approved by the Associate Administrator or, for international transport, multilateral approval is obtained from the pertinent Competent Authorities.
 
(c)
In calculating A1 and A2 values for approval in accordance with paragraph (b)(2) of this section:
 
(1)
It is permissible to use an A2 value calculated using a dose coefficient for the appropriate lung absorption type, as recommended by the International Commission on Radiological Protection, if the chemical forms of each radionuclide under both normal and accident conditions of transport are taken into consideration.
 
(2)
A single radioactive decay chain in which the radionuclides are present in their naturally-occurring proportions, and in which no daughter nuclide has a half life either longer than 10 days or longer than that of the parent nuclide, will be considered as a single radionuclide, and the activity to be taken into account and the A1 or A2 value to be applied will be those corresponding to the parent nuclide of that chain. Otherwise, the parent and daughter nuclides will be considered as a mixture of different nuclides.
 
(d)
Mixtures of radionuclides whose identities and respective activities are known must conform to the following conditions:
 
(1)
For special form Class 7 (radioactive) material, the activity which may be transported in a Type A package must satisfy:

Where:

B(i) is the activity of radionuclide i in special form; and

A1(i) is the A1 value for radionuclide i.

 
(2)
For normal form Class 7 (radioactive) material, the activity which may be transported in a Type A package must satisfy:

Where:

C(j) is the activity of radionuclide j in normal form; and

A2(j) is the A2 value for radionuclide j.

 
(3)
If the package contains both special and normal form Class 7 (radioactive) material, the activity which may be transported in a Type A package must satisfy:

Where:

The symbols are defined as in paragraphs (d)(1) and (d)(2) of this section.

 
(4)
Alternatively, the A1 value for a mixture of special form material may be determined as follows:

Where:

f(i) is the fraction of activity for radionuclide i in the mixture; and

A1(i) is the appropriate A1 value for radionuclide i.

 
(5)
Alternatively, the A2 value for mixtures of normal form material may be determined as follows:

Where:

f(i) is the fraction of activity for normal form radionuclide i in the mixture; and

A2(i) is the appropriate A2 value for radionuclide i.

 
(6)
The exempt activity concentration for mixtures of nuclides may be determined as follows:

Where:

f(i) is the fraction of activity concentration of nuclide i in the mixture; and

[A](i) is the activity concentration for exempt material containing nuclide i.

 
(7)
The activity limit for an exempt consignment for mixtures of nuclides may be determined as follows:

Where:

f(i) is the fraction of activity of nuclide i in the mixture; and

A(i) is the activity limit for exempt consignments for nuclide i.

 
(e)
When the identity of each nuclide is known but the individual activities of some of the radionuclides are not known, the radionuclides may be grouped and the lowest A1 or A2 value, as appropriate, for the radionuclides in each group may be used in applying the formulas in paragraphs (d)(1) through (d)(5) of this section. Groups may be based on the total alpha activity and the total beta/gamma activity when these are known, using the lowest A1 or A2 values for the alpha emitters or beta/gamma emitters, respectively.
 
(f)
When the identity of each nuclide is known but the individual activities of some of the radionuclides are not known, the radionuclides may be grouped and the lowest [A] (activity concentration for exempt material) or A (activity limit for exempt consignment) value, as appropriate, for the radionuclides in each group may be used in applying the formulas in paragraphs (d)(6) and (d)(7) of this section. Groups may be based on the total alpha activity and the total beta/gamma activity when these are known, using the lowest [A] or A values for the alpha emitters or beta/gamma emitters, respectively.
 
(g)
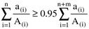
Shipping papers and labeling. For mixtures of radionuclides, the radionuclides (n) that must be shown on shipping papers and labels in accordance with §§172.203 and 172.403 of this subchapter, respectively, must be determined on the basis of the following formula:

Where:

n + m represents all the radionuclides in the mixture;

m are the radionuclides that do not need to be considered;

a(i) is the activity of radionuclide i in the mixture; and

A(i) is the A1 or A2 value, as appropriate for radionuclide i.

 
(h)
Tables 7 and 8 are as follows:

Table 7 — General Values for A1 and A2

Radioactive contentsA1A2
(TBq)(Ci)(TBq)(Ci)
1. Only beta or gamma emitting nuclides are known to be present1 × 10¹2.7 × 10°2 × 10²5.4 × 10¹
2. Alpha emitting nuclides, but no beta, gamma, or neutron emitters, are known to be present¹2 × 10¹5.4 × 1009 × 1052.4 × 10³
3. Neutron emitting nuclides are known to be present or no relevant data are available1 × 10³2.7 × 10²9 × 1052.4 × 10³

¹If beta or gamma emitting nuclides are also known to be present, the A1 value of 0.1 TBq (2.7 Ci) should be used.

Table 8 — General Exemption Values

Radioactive contentsActivity
concentration for exempt material
Activity limits for exempt
consignments
(Bq/g)(Ci/g)(Bq)(Ci)
1. Only beta or gamma emitting nuclides are known to be present1 × 10¹2.7 × 10101 × 1042.7 × 107
2. Alpha emitting nuclides, but no neutron emitters, are known to be present1 × 10¹2.7 × 10121 × 10³2.7 × 108
3. Neutron emitting nuclides are known to be present or no relevant data are available1 × 10¹2.7 × 10121 × 10³2.7 × 108

[69 FR 3677, Jan. 26, 2004; 69 FR 55119, Sept. 13, 2004, as amended at 79 FR 40614, July 11, 2014]

   Reason: