Login required to View Regulations

Sign In or Register Now.  Registration is fast and free!

 
Appendix C to Subpart V of Part 1926 — Protection From Hazardous Differences in Electric Potential
 
I.
Introduction

Current passing through an impedance impresses voltage across that impedance. Even conductors have some, albeit low, value of impedance. Therefore, if a "grounded"¹ object, such as a crane or deenergized and grounded power line, results in a ground fault on a power line, voltage is impressed on that grounded object. The voltage impressed on the grounded object depends largely on the voltage on the line, on the impedance of the faulted conductor, and on the impedance to "true," or "absolute," ground represented by the object. If the impedance of the object causing the fault is relatively large, the voltage impressed on the object is essentially the phase-to-ground system voltage. However, even faults to grounded power lines or to well grounded transmission towers or substation structures (which have relatively low values of impedance to ground) can result in hazardous voltages.² In all cases, the degree of the hazard depends on the magnitude of the current through the employee and the time of exposure. This appendix discusses methods of protecting workers against the possibility that grounded objects, such as cranes and other mechanical equipment, will contact energized power lines and that deenergized and grounded power lines will become accidentally energized.

¹This appendix generally uses the term "grounded" only with respect to grounding that the employer intentionally installs, for example, the grounding an employer installs on a deenergized conductor. However, in this case, the term "grounded" means connected to earth, regardless of whether or not that connection is intentional.
²Thus, grounding systems for transmission towers and substation structures should be designed to minimize the step and touch potentials involved.
 
II.
Voltage-Gradient Distribution
 
A.
Voltage-gradient distribution curve. Absolute, or true, ground serves as a reference and always has a voltage of 0 volts above ground potential. Because there is an impedance between a grounding electrode and absolute ground, there will be a voltage difference between the grounding electrode and absolute ground under ground-fault conditions. Voltage dissipates from the grounding electrode (or from the grounding point) and creates a ground potential gradient. The voltage decreases rapidly with increasing distance from the grounding electrode. A voltage drop associated with this dissipation of voltage is a ground potential. Figure 1 is a typical voltage-gradient distribution curve (assuming a uniform soil texture).
Figure 1 — Typical Voltage-Gradient Distribution Curve
 
B.
Step and touch potentials. Figure 1 also shows that workers are at risk from step and touch potentials. Step potential is the voltage between the feet of a person standing near an energized grounded object (the electrode). In Figure 1, the step potential is equal to the difference in voltage between two points at different distances from the electrode (where the points represent the location of each foot in relation to the electrode). A person could be at risk of injury during a fault simply by standing near the object.
Touch potential is the voltage between the energized grounded object (again, the electrode) and the feet of a person in contact with the object. In Figure 1, the touch potential is equal to the difference in voltage between the electrode (which is at a distance of 0 meters) and a point some distance away from the electrode (where the point represents the location of the feet of the person in contact with the object). The touch potential could be nearly the full voltage across the grounded object if that object is grounded at a point remote from the place where the person is in contact with it. For example, a crane grounded to the system neutral and that contacts an energized line would expose any person in contact with the crane or its uninsulated load line to a touch potential nearly equal to the full fault voltage.

Figure 2 illustrates step and touch potentials.

Figure 2 — Step and Touch Potentials
 
III.
Protecting Workers From Hazardous Differences in Electrical Potential
 
A.
Definitions. The following definitions apply to section III of this appendix:
Bond. The electrical interconnection of conductive parts designed to maintain a common electric potential.
Bonding cable (bonding jumper). A cable connected to two conductive parts to bond the parts together.
Cluster bar. A terminal temporarily attached to a structure that provides a means for the attachment and bonding of grounding and bonding cables to the structure.
Ground. A conducting connection between an electric circuit or equipment and the earth, or to some conducting body that serves in place of the earth.
Grounding cable (grounding jumper). A cable connected between a deenergized part and ground. Note that grounding cables carry fault current and bonding cables generally do not. A cable that bonds two conductive parts but carries substantial fault current (for example, a jumper connected between one phase and a grounded phase) is a grounding cable.
Ground mat (grounding grid). A temporarily or permanently installed metallic mat or grating that establishes an equipotential surface and provides connection points for attaching grounds.
 
B.
Analyzing the hazard. The employer can use an engineering analysis of the power system under fault conditions to determine whether hazardous step and touch voltages will develop. The analysis should determine the voltage on all conductive objects in the work area and the amount of time the voltage will be present. Based on the this analysis, the employer can select appropriate measures and protective equipment, including the measures and protective equipment outlined in Section III of this appendix, to protect each employee from hazardous differences in electric potential. For example, from the analysis, the employer will know the voltage remaining on conductive objects after employees install bonding and grounding equipment and will be able to select insulating equipment with an appropriate rating, as described in paragraph III.C.2 of this appendix.
 
C.
Protecting workers on the ground. The employer may use several methods, including equipotential zones, insulating equipment, and restricted work areas, to protect employees on the ground from hazardous differences in electrical potential.
 
1.
An equipotential zone will protect workers within it from hazardous step and touch potentials. (See Figure 3.) Equipotential zones will not, however, protect employees located either wholly or partially outside the protected area. The employer can establish an equipotential zone for workers on the ground, with respect to a grounded object, through the use of a metal mat connected to the grounded object. The employer can use a grounding grid to equalize the voltage within the grid or bond conductive objects in the immediate work area to minimize the potential between the objects and between each object and ground. (Bonding an object outside the work area can increase the touch potential to that object, however.) Section III.D of this appendix discusses equipotential zones for employees working on deenergized and grounded power lines.
 
2.
Insulating equipment, such as rubber gloves, can protect employees handling grounded equipment and conductors from hazardous touch potentials. The insulating equipment must be rated for the highest voltage that can be impressed on the grounded objects under fault conditions (rather than for the full system voltage).
 
3.
Restricting employees from areas where hazardous step or touch potentials could arise can protect employees not directly involved in performing the operation. The employer must ensure that employees on the ground in the vicinity of transmission structures are at a distance where step voltages would be insufficient to cause injury. Employees must not handle grounded conductors or equipment likely to become energized to hazardous voltages unless the employees are within an equipotential zone or protected by insulating equipment.
Figure 3 — Protection from Ground-Potential Gradients
 
D.
Protecting employees working on deenergized and grounded power lines. This Section III.D of Appendix C establishes guidelines to help employers comply with requirements in §1926.962 for using protective grounding to protect employees working on deenergized power lines. Section 1926.962 applies to grounding of transmission and distribution lines and equipment for the purpose of protecting workers. Paragraph (c) of §1926.962 requires temporary protective grounds to be placed at such locations and arranged in such a manner that the employer can demonstrate will prevent exposure of each employee to hazardous differences in electric potential.³ Sections III.D.1 and III.D.2 of this appendix provide guidelines that employers can use in making the demonstration required by §1926.962(c). Section III.D.1 of this appendix provides guidelines on how the employer can determine whether particular grounding practices expose employees to hazardous differences in electric potential. Section III.D.2 of this appendix describes grounding methods that the employer can use in lieu of an engineering analysis to make the demonstration required by §1926.962(c). The Occupational Safety and Health Administration will consider employers that comply with the criteria in this appendix as meeting §1926.962(c).
³The protective grounding required by §1926.962 limits to safe values the potential differences between accessible objects in each employee's work environment. Ideally, a protective grounding system would create a true equipotential zone in which every point is at the same electric potential. In practice, current passing through the grounding and bonding elements creates potential differences. If these potential differences are hazardous, the employer may not treat the zone as an equipotential zone.

Finally, Section III.D.3 of this appendix discusses other safety considerations that will help the employer comply with other requirements in §1926.962. Following these guidelines will protect workers from hazards that can occur when a deenergized and grounded line becomes energized.

 
1.
Determining safe body current limits. This Section III.D.1 of Appendix C provides guidelines on how an employer can determine whether any differences in electric potential to which workers could be exposed are hazardous as part of the demonstration required by §1926.962(c).

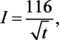
Institute of Electrical and Electronic Engineers (IEEE) Standard 1048-2003, IEEE Guide for Protective Grounding of Power Lines, provides the following equation for determining the threshold of ventricular fibrillation when the duration of the electric shock is limited:

where I is the current through the worker's body, and t is the duration of the current in seconds. This equation represents the ventricular fibrillation threshold for 95.5 percent of the adult population with a mass of 50 kilograms (110 pounds) or more. The equation is valid for current durations between 0.0083 to 3.0 seconds.

To use this equation to set safe voltage limits in an equipotential zone around the worker, the employer will need to assume a value for the resistance of the worker's body. IEEE Std 1048-2003 states that "total body resistance is usually taken as 1000 Ω for determining . . . body current limits." However, employers should be aware that the impedance of a worker's body can be substantially less than that value. For instance, IEEE Std 1048-2003 reports a minimum hand-to-hand resistance of 610 ohms and an internal body resistance of 500 ohms. The internal resistance of the body better represents the minimum resistance of a worker's body when the skin resistance drops near zero, which occurs, for example, when there are breaks in the worker's skin, for instance, from cuts or from blisters formed as a result of the current from an electric shock, or when the worker is wet at the points of contact.

Employers may use the IEEE Std 1048-2003 equation to determine safe body current limits only if the employer protects workers from hazards associated with involuntary muscle reactions from electric shock (for example, the hazard to a worker from falling as a result of an electric shock). Moreover, the equation applies only when the duration of the electric shock is limited. If the precautions the employer takes, including those required by applicable standards, do not adequately protect employees from hazards associated with involuntary reactions from electric shock, a hazard exists if the induced voltage is sufficient to pass a current of 1 milliampere through a 500-ohm resistor. (The 500-ohm resistor represents the resistance of an employee. The 1-milliampere current is the threshold of perception.) Finally, if the employer protects employees from injury due to involuntary reactions from electric shock, but the duration of the electric shock is unlimited (that is, when the fault current at the work location will be insufficient to trip the devices protecting the circuit), a hazard exists if the resultant current would be more than 6 milliamperes (the recognized let-go threshold for workers4).

4Electric current passing through the body has varying effects depending on the amount of the current. At the let-go threshold, the current overrides a person's control over his or her muscles. At that level, an employee grasping an object will not be able to let go of the object. The let-go threshold varies from person to person; however, the recognized value for workers is 6 milliamperes.
 
2.
Acceptable methods of grounding for employers that do not perform an engineering determination. The grounding methods presented in this section of this appendix ensure that differences in electric potential are as low as possible and, therefore, meet §1926.962(c) without an engineering determination of the potential differences. These methods follow two principles:
 
(i)
The grounding method must ensure that the circuit opens in the fastest available clearing time, and (ii) the grounding method must ensure that the potential differences between conductive objects in the employee's work area are as low as possible.

Paragraph (c) of §1926.962 does not require grounding methods to meet the criteria embodied in these principles. Instead, the paragraph requires that protective grounds be "placed at such locations and arranged in such a manner that the employer can demonstrate will prevent exposure of each employee to hazardous differences in electric potential." However, when the employer's grounding practices do not follow these two principles, the employer will need to perform an engineering analysis to make the demonstration required by §1926.962(c).

 
i.
Ensuring that the circuit opens in the fastest available clearing time. Generally, the higher the fault current, the shorter the clearing times for the same type of fault. Therefore, to ensure the fastest available clearing time, the grounding method must maximize the fault current with a low impedance connection to ground. The employer accomplishes this objective by grounding the circuit conductors to the best ground available at the worksite. Thus, the employer must ground to a grounded system neutral conductor, if one is present. A grounded system neutral has a direct connection to the system ground at the source, resulting in an extremely low impedance to ground. In a substation, the employer may instead ground to the substation grid, which also has an extremely low impedance to the system ground and, typically, is connected to a grounded system neutral when one is present. Remote system grounds, such as pole and tower grounds, have a higher impedance to the system ground than grounded system neutrals and substation grounding grids; however, the employer may use a remote ground when lower impedance grounds are not available. In the absence of a grounded system neutral, substation grid, and remote ground, the employer may use a temporary driven ground at the worksite.

In addition, if employees are working on a three-phase system, the grounding method must short circuit all three phases. Short circuiting all phases will ensure faster clearing and lower the current through the grounding cable connecting the deenergized line to ground, thereby lowering the voltage across that cable. The short circuit need not be at the worksite; however, the employer must treat any conductor that is not grounded at the worksite as energized because the ungrounded conductors will be energized at fault voltage during a fault.

 
ii.
Ensuring that the potential differences between conductive objects in the employee's work area are as low as possible. To achieve as low a voltage as possible across any two conductive objects in the work area, the employer must bond all conductive objects in the work area. This section of this appendix discusses how to create a zone that minimizes differences in electric potential between conductive objects in the work area.

The employer must use bonding cables to bond conductive objects, except for metallic objects bonded through metal-to-metal contact. The employer must ensure that metal-to-metal contacts are tight and free of contamination, such as oxidation, that can increase the impedance across the connection. For example, a bolted connection between metal lattice tower members is acceptable if the connection is tight and free of corrosion and other contamination. Figure 4 shows how to create an equipotential zone for metal lattice towers.

 
Wood poles are conductive objects. The poles can absorb moisture and conduct electricity, particularly at distribution and transmission voltages. Consequently, the employer must either:
 
(1)
Provide a conductive platform, bonded to a grounding cable, on which the worker stands or
 
(2)
use cluster bars to bond wood poles to the grounding cable. The employer must ensure that employees install the cluster bar below, and close to, the worker's feet. The inner portion of the wood pole is more conductive than the outer shell, so it is important that the cluster bar be in conductive contact with a metal spike or nail that penetrates the wood to a depth greater than or equal to the depth the worker's climbing gaffs will penetrate the wood. For example, the employer could mount the cluster bar on a bare pole ground wire fastened to the pole with nails or staples that penetrate to the required depth. Alternatively, the employer may temporarily nail a conductive strap to the pole and connect the strap to the cluster bar. Figure 5 shows how to create an equipotential zone for wood poles.

Notes:

1. Employers must ground overhead ground wires that are within reach of the employee.

2. The grounding cable must be as short as practicable; therefore, the attachment points between the grounding cable and the tower may be different from that shown in the figure,

Figure 4 — Equipotential Zone for Metal Lattice tower
Figure 5 — Equipotential Grounding for Wood Poles

Figure reprinted with permission from Hubble Power Systems, Inc. (Hubble).

OSHA revised the figure from Hubbell's original.

For underground systems, employers commonly install grounds at the points of disconnection of the underground cables. These grounding points are typically remote from the manhole or underground vault where employees will be working on the cable. Workers in contact with a cable grounded at a remote location can experience hazardous potential differences if the cable becomes energized or if a fault occurs on a different, but nearby, energized cable. The fault current causes potential gradients in the earth, and a potential difference will exist between the earth where the worker is standing and the earth where the cable is grounded. Consequently, to create an equipotential zone for the worker, the employer must provide a means of connecting the deenergized cable to ground at the worksite by having the worker stand on a conductive mat bonded to the deenergized cable. If the cable is cut, the employer must install a bond across the opening in the cable or install one bond on each side of the opening to ensure that the separate cable ends are at the same potential. The employer must protect the worker from any hazardous differences in potential any time there is no bond between the mat and the cable (for example, before the worker installs the bonds).

 
3.
Other safety-related considerations. To ensure that the grounding system is safe and effective, the employer should also consider the following factors:5
5This appendix only discusses factors that relate to ensuring an equipotential zone for employees. The employer must consider other factors in selecting a grounding system that is capable of conducting the maximum fault current that could flow at the point of grounding for the time necessary to clear the fault, as required by §1926.962(d)(1)(i). IEEE Std 1048-2003 contains guidelines for selecting and installing grounding equipment that will meet §1926.962(d)(1)(i).
 
i.
Maintenance of grounding equipment. It is essential that the employer properly maintain grounding equipment. Corrosion in the connections between grounding cables and clamps and on the clamp surface can increase the resistance of the cable, thereby increasing potential differences. In addition, the surface to which a clamp attaches, such as a conductor or tower member, must be clean and free of corrosion and oxidation to ensure a low-resistance connection. Cables must be free of damage that could reduce their current-carrying capacity so that they can carry the full fault current without failure. Each clamp must have a tight connection to the cable to ensure a low resistance and to ensure that the clamp does not separate from the cable during a fault.
 
ii.
Grounding cable length and movement. The electromagnetic forces on grounding cables during a fault increase with increasing cable length. These forces can cause the cable to move violently during a fault and can be high enough to damage the cable or clamps and cause the cable to fail. In addition, flying cables can injure workers. Consequently, cable lengths should be as short as possible, and grounding cables that might carry high fault current should be in positions where the cables will not injure workers during a fault.

   Reason: