Login required to View Regulations

Sign In or Register Now.  Registration is fast and free!

 
§571.111 — Standard No. 111; Rear visibility
 
S1.
Scope. This standard specifies requirements for rear visibility devices and systems.
 
S2.
Purpose. The purpose of this standard is to reduce the number of deaths and injuries that occur when the driver of a motor vehicle does not have a clear and reasonably unobstructed view to the rear.
 
S3.
Application. This standard applies to passenger cars, multipurpose passenger vehicles, trucks, buses, school buses, motorcycles and low-speed vehicles.
 
S4.
Definitions.
 
Backing event means an amount of time which starts when the vehicle's direction selector is placed in reverse, and ends at the manufacturer's choosing, when the vehicle forward motion reaches:
 
(a)
a speed of 10 mph,
 
(b)
a distance of 10 meters traveled, or
 
(c)
a continuous duration of 10 seconds.
 
Convex mirror means a mirror having a curved reflective surface whose shape is the same as that of the exterior surface of a section of a sphere.
 
Effective mirror surface means the portions of a mirror that reflect images, excluding the mirror rim or mounting brackets.
 
Environmental test fixture means a device designed to support the external components of the rear visibility system for testing purposes, using any factory seal which would be used during normal vehicle operation, in a manner that simulates the on-vehicle component orientation during normal vehicle operation, and prevents the exposure of any test conditions to portions of the external component which are not exposed to the outside of the motor vehicle.
 
External component means any part of the rear visibility system which is exposed to the outside of the motor vehicle.
 
Key means a physical device or an electronic code which, when inserted into the starting system (by physical or electronic means), enables the vehicle operator to activate the engine or motor.
 
Limited line manufacturer means a manufacturer that sells three or fewer carlines, as that term is defined in 49 CFR 583.4, in the United States during a production year, as that term is defined in S15.
 
Rearview image means a visual image, detected by means of a single source, of the area directly behind a vehicle that is provided in a single location to the vehicle operator and by means of indirect vision.
 
Rear visibility system means the set of devices or components which together perform the function of producing the rearview image as required under this standard.
 
Small manufacturer means an original vehicle manufacturer that produces or assembles fewer than 5,000 vehicles annually for sale in the United States.
 
Starting system means the vehicle system used in conjunction with the key to activate the engine or motor.
 
Unit magnification mirror means a plane or flat mirror with a reflective surface through which the angular height and width of the image of an object is equal to the angular height and width of the object when viewed directly at the same distance except for flaws that do not exceed normal manufacturing tolerances. For the purposes of this regulation a prismatic day-night adjustment rearview mirror one of whose positions provides unit magnification is considered a unit magnification mirror.
 
S5.
Requirements for passenger cars.
 
S5.1
Inside rearview mirror. Each passenger car shall have an inside rearview mirror of unit magnification.
 
S5.1.1
Field of view. Except as provided in S5.3, the mirror shall provide a field of view with an included horizontal angle measured from the projected eye point of at least 20 degrees, and a sufficient vertical angle to provide a view of a level road surface extending to the horizon beginning at a point not greater than 61 m to the rear of the vehicle when the vehicle is occupied by the driver and four passengers or the designated occupant capacity, if less, based on an average occupant weight of 68 kg. The line of sight may be partially obscured by seated occupants or by head restraints. The location of the driver's eye reference points shall be those established in Motor Vehicle Safety Standard No. 104 (§571.104) or a nominal location appropriate for any 95th percentile male driver.
 
S5.1.2
Mounting. The mirror mounting shall provide a stable support for the mirror, and shall provide for mirror adjustment by tilting in both the horizontal and vertical directions. If the mirror is in the head impact area, the mounting shall deflect, collapse or break away without leaving sharp edges when the reflective surface of the mirror is subjected to a force of 400 N in any forward direction that is not more than 45° from the forward longitudinal direction.
 
S5.2
Outside rearview mirror — driver's side.
 
S5.2.1
Field of view. Each passenger car shall have an outside mirror of unit magnification. The mirror shall provide the driver a view of a level road surface extending to the horizon from a line, perpendicular to a longitudinal plane tangent to the driver's side of the vehicle at the widest point, extending 2.4 m out from the tangent plane 10.7 m behind the driver's eyes, with the seat in the rearmost position. The line of sight may be partially obscured by rear body or fender contours. The location of the driver's eye reference points shall be those established in Motor Vehicle Safety Standard No. 104 (§571.104) or a nominal location appropriate for any 95th percentile male driver.
 
S5.2.2
Mounting. The mirror mounting shall provide a stable support for the mirror, and neither the mirror nor the mounting shall protrude farther than the widest part of the vehicle body except to the extent necessary to produce a field of view meeting or exceeding the requirements of S5.2.1. The mirror shall not be obscured by the unwiped portion of the windshield, and shall be adjustable by tilting in both horizontal and vertical directions from the driver's seated position. The mirror and mounting shall be free of sharp points or edges that could contribute to pedestrian injury.
 
S5.3
Outside rearview mirror passenger's side. Each passenger car whose inside rearview mirror does not meet the field of view requirements of S5.1.1 shall have an outside mirror of unit magnification or a convex mirror installed on the passenger's side. The mirror mounting shall provide a stable support and be free of sharp points or edges that could contribute to pedestrian injury. The mirror need not be adjustable from the driver's seat but shall be capable of adjustment by tilting in both horizontal and vertical directions.
 
S5.4
Convex mirror requirements. Each motor vehicle using a convex mirror to meet the requirements of S5.3 shall comply with the following requirements:
 
S5.4.1
When each convex mirror is tested in accordance with the procedures specified in S12. of this standard, none of the radii of curvature readings shall deviate from the average radius of curvature by more than plus or minus 12.5 percent.
 
S5.4.2
Each convex mirror shall have permanently and indelibly marked at the lower edge of the mirror's reflective surface, in letters not less than 4.8 mm nor more than 6.4 mm high the words “Objects in Mirror Are Closer Than They Appear.”
 
S5.4.3
The average radius of curvature of each such mirror, as determined by using the procedure in S12., shall be not less than 889 mm and not more than 1,651 mm.
 
S5.5
Rear visibility.
 
(a)
Phase-in period requirements. For passenger cars with a GVWR of 4,536 kg or less manufactured on or after May 1, 2016, but not later than April 30, 2018, a percentage of each manufacturer's production, as specified in S15, shall display a rearview image meeting the requirements of S5.5.1.
 
(b)
Final requirements. Each passenger car with a GVWR of 4,536 kg or less manufactured on or after May 1, 2018, shall display a rearview image meeting the requirements of S5.5.1 through S5.5.7.
 
S5.5.1
Field of view. When tested in accordance with the procedures in S14.1, the rearview image shall include:
 
(a)
A minimum of a 150-mm wide portion along the circumference of each test object located at positions F and G specified in S14.1.4; and
 
(b)
The full width and height of each test object located at positions A through E specified in S14.1.4.
 
S5.5.2
Size. When the rearview image is measured in accordance with the procedures in S14.1, the calculated visual angle subtended by the horizontal width of
 
(a)
All three test objects located at positions A, B, and C specified in S14.1.4 shall average not less than 5 minutes of arc; and
 
(b)
Each individual test object (A, B, and C) shall not be less than 3 minutes of arc.
 
S5.5.3
Response time. The rearview image meeting the requirements of S5.5.1 and S5.5.2, when tested in accordance with S14.2, shall be displayed within 2.0 seconds of the start of a backing event.
 
S5.5.4
Linger time. The rearview image meeting the requirements of S5.5.1 and S5.5.2 shall not be displayed after the backing event has ended.
 
S5.5.5
Deactivation. The rearview image meeting the requirements of S5.5.1 and S5.5.2 shall remain visible during the backing event until either, the driver modifies the view, or the vehicle direction selector is removed from the reverse position.
 
S5.5.6
Default view. The rear visibility system must default to the rearview image meeting the requirements of S5.5.1 and S5.5.2 at the beginning of each backing event regardless of any modifications to the field of view the driver has previously selected.
 
S5.5.7
Durability. The rear visibility system shall meet the field of view and image size requirements of S5.5.1 and S5.5.2 after each durability test specified in S14.3.1, S14.3.2, and S14.3.3.
 
S6.
Requirements for multipurpose passenger vehicles, low-speed vehicles, trucks, buses, and school buses with GVWR of 4,536 kg or less.
 
S6.1
Each multipurpose passenger vehicle, truck and bus, other than a school bus, with a GVWR of 4,536 kg or less shall have either —
 
(a)
Mirrors that conform to the requirements of S5.; or
 
(b)
Outside mirrors of unit magnification, each with not less than 126 cm² of reflective surface, installed with stable supports on both sides of the vehicle, located so as to provide the driver a view to the rear along both sides of the vehicle, and adjustable in both the horizontal and vertical directions to view the rearward scene.
 
S6.2
Rear visibility.
 
(a)
Phase-in period requirements. For multipurpose passenger vehicles, low-speed vehicles, trucks, buses, and school buses with a GVWR of 4,536 kg or less manufactured on or after May 1, 2016, but not later than April 30, 2018, a percentage of each manufacturer's production, as specified in S15, shall display a rearview image meeting the requirements of S6.2.1.
 
(b)
Final requirements. Each multipurpose passenger vehicle, low-speed vehicle, truck, bus, and school bus with a GVWR of 4,536 kg or less manufactured on or after May 1, 2018, shall display a rearview image meeting the requirements of S6.2.1 through S6.2.7.
 
S6.2.1
Field of view. When tested in accordance with the procedures in S14.1, the rearview image shall include:
 
(a)
A minimum of a 150-mm wide portion along the circumference of each test object located at positions F and G specified in S14.1.4; and
 
(b)
The full width and height of each test object located at positions A through E specified in S14.1.4.
 
S6.2.2
Size. When the rearview image is measured in accordance with the procedures in S14.1, the calculated visual angle subtended by the horizontal width of
 
(a)
All three test objects located at positions A, B, and C specified in S14.1.4 shall average not less than 5 minutes of arc; and
 
(b)
Each individual test object (A, B, and C) shall not be less than 3 minutes of arc.
 
S6.2.3
Response time. The rearview image meeting the requirements of S6.2.1 and S6.2.2, when tested in accordance with S14.2, shall be displayed within 2.0 seconds of the start of a backing event.
 
S6.2.4
Linger time. The rearview image meeting the requirements of S6.2.1 and S6.2.2 shall not be displayed after the backing event has ended.
 
S6.2.5
Deactivation. The rearview image meeting the requirements of S6.2.1 and S6.2.2 shall remain visible during the backing event until either, the driver modifies the view, or the vehicle direction selector is removed from the reverse position.
 
S6.2.6
Default view. The rear visibility system must default to the rearview image meeting the requirements of S6.2.1 and S6.2.2 at the beginning of each backing event regardless of any modifications to the field of view the driver has previously selected.
 
S6.2.7
Durability. The rear visibility system shall meet the field of view and image size requirements of S6.2.1 and S6.2.2 after each durability test specified in S14.3.1, S14.3.2, and S14.3.3.
 
S7.
Requirements for multipurpose passenger vehicles and trucks with a GVWR of more than 4,536 kg and less than 11,340 kg and buses, other than school buses, with a GVWR of more than 4,536 kg.
 
S7.1
Each multipurpose passenger vehicle and truck with a GVWR of more than 4,536 kg and less than 11,340 kg and each bus, other than a school bus, with a GVWR of more than 4,536 kg shall have outside mirrors of unit magnification, each with not less than 323 cm² of reflective surface, installed with stable supports on both sides of the vehicle. The mirrors shall be located so as to provide the driver a view to the rear along both sides of the vehicle and shall be adjustable both in the horizontal and vertical directions to view the rearward scene.
 
S8.
Requirements for multipurpose passenger vehicles and trucks with a GVWR of 11,340 kg or more.
 
S8.1
Each multipurpose passenger vehicle and truck with a GVWR of 11,340 kg or more shall have outside mirrors of unit magnification, each with not less than 323 cm² of reflective surface, installed with stable supports on both sides of the vehicle. The mirrors shall be located so as to provide the driver a view to the rear along both sides of the vehicle and shall be adjustable both in the horizontal and vertical directions to view the rearward scene.
 
S9.
Requirements for School Buses. When a school bus is tested in accordance with the procedures of S13, it shall meet the requirements of S9.1 through S9.4.
 
S9.1
Outside Rearview Mirrors. Each school bus shall have two outside rearview mirror systems: System A and System B.
 
S9.2
System A shall be located with stable supports so that the portion of the system on the bus's left side, and the portion on its right side, each:
 
(a)
Includes at least one mirror of unit magnification with not less than 323 cm² of reflective surface; and
 
(b)
Includes one or more mirrors which together provide, at the driver's eye location, a view of:
 
(1)
For the mirror system on the right side of the bus, the entire top surface of cylinder N in Figure 2, and that area of the ground which extends rearward from cylinder N to a point not less than 61 meters from the mirror surface.
 
(2)
For the mirror system on the left side of the bus, the entire top surface of cylinder M in Figure 2, and that area of the ground which extends rearward from cylinder M to a point not less than 61 meters from the mirror surface.
 
S9.3
 
(a)
For each of the cylinders A through P whose entire top surface is not directly visible from the driver's eye location, System B shall provide, at that location:
 
(1)
A view of the entire top surface of that cylinder.
 
(2)
A view of the ground that overlaps with the view of the ground provided by System A.
 
(b)
Each mirror installed in compliance with S9.3(a) shall meet the following requirements:
 
(1)
Each mirror shall have a projected area of at least 258 cm², as measured on a plane at a right angle to the mirror's axis.
 
(2)
Each mirror shall be located such that the distance from the center point of the eye location of a 25th percentile adult female seated in the driver's seat to the center of the mirror shall be at least 95 cm.
 
(3)
Each mirror shall have no discontinuities in the slope of the surface of the mirror.
 
(4)
Each mirror shall be installed with a stable support.
 
(c)
Each school bus which has a mirror installed in compliance with S9.3(a) that has an average radius of curvature of less than 889 mm, as determined under S12, shall have a label visible to the seated driver. The label shall be printed in a type face and color that are clear and conspicuous. The label shall state the following:

“USE CROSS VIEW MIRRORS TO VIEW PEDESTRIANS WHILE BUS IS STOPPED. DO NOT USE THESE MIRRORS TO VIEW TRAFFIC WHILE BUS IS MOVING. IMAGES IN SUCH MIRRORS DO NOT ACCURATELY SHOW ANOTHER VEHICLE'S LOCATION.”

 
S9.4
 
(a)
Each image required by S9.3(a)(1) to be visible at the driver's eye location shall be separated from the edge of the effective mirror surface of the mirror providing that image by a distance of not less than 3 minutes of arc.
 
(b)
The image required by S9.3(a)(1) of cylinder P shall meet the following requirements:
 
(1)
The angular size of the shortest dimension of that cylinder's image shall be not less than 3 minutes of arc; and
 
(2)
The angular size of the longest dimension of that cylinder's image shall be not less than 9 minutes of arc.
 
S10.
Requirements for motorcycles.
 
S10.1
Each motorcycle shall have either a mirror of unit magnification with not less than 8065 mm² of reflective surface, or a convex mirror with not less than 6450 mm² of reflective surface and an average radius of curvature not less than 508 mm and not greater than 1524 mm, installed with a stable support, and mounted so that the horizontal center of the reflective surface is at least 279 mm outward of the longitudinal centerline of the motorcycle. The mirror shall be adjustable by tilting in both the horizontal and vertical directions.
 
S11.
Mirror Construction. The average reflectance of any mirror required by this standard shall be determined in accordance with SAE Standard J964 OCT84 (incorporated by reference, see §571.5). All single reflectance mirrors shall have an average reflectance of at least 35 percent. If a mirror is capable of multiple reflectance levels, the minimum reflectance level in the day mode shall be at least 35 percent and the minimum reflectance level in the night mode shall be at least 4 percent. A multiple reflectance mirror shall either be equipped with a means for the driver to adjust the mirror to a reflectance level of at least 35 percent in the event of electrical failure, or achieve such reflectance level automatically in the event of electrical failure.
 
S12.
Determination of radius of curvature.
 
S12.1
To determine the average radius of curvature of a convex mirror, use a 3-point linear spherometer, which meets the requirements of S12.2, at the 10 test positions shown in Figure 1 and record the readings for each position.
 
S12.2
The 3-point linear spherometer has two outer fixed legs 38 mm apart and one inner movable leg at the midpoint. The spherometer has a dial indicator with a scale that can be read accurately to .0025 mm, with the zero reading being a flat surface.
 
S12.3
The 10 test positions on the image display consist of two positions at right angles to each other at each of five locations as shown in Figure 1. The locations are at the center of the mirror, at the left and right ends of a horizontal line that bisects the mirror and at the top and bottom ends of a vertical line that bisects the mirror. None of the readings are within a 6.4 mm border on the edge of the image display.
 
S12.4
At each position, the spherometer is held perpendicular to the convex mirror-surface and a record is made of the reading on the dial indicator to the nearest .0025 mm.
 
S12.5
Convert the dial reading data for each of the 10 test positions to radius of curvature calculations using Table I. Consider the change as linear for dial readings that fall between two numbers in Table I.
 
S12.6
Calculate the average radius of curvature by adding all 10 radius of curvature calculations and dividing by ten.
 
S12.7
Determine the numerical difference between the average radius of curvature and each of the 10 individual radius of curvature calculations determined in S12.5.
 
S12.8
Calculate the greatest percentage deviation by dividing the greatest numerical difference determined in S12.7 by the average radius of curvature and multiply by 100.

Table I — Conversion Table From Spherometer Dial Reading to Radius of Curvature

Dial readingRadius of curvature (Inches)Radius of curvature (mm)
.0033085.22164.1
.0035080.42042.92
.0037475.21910.1
.0040270.01778.0
.0041667.61717.0
.0043265.11653.5
.0045062.51587.5
.0046860.11526.5
.0047659.11501.1
.0048458.11475.7
.0049257.21452.9
.0050256.01422.4
.0051254.91394.5
.0052253.91369.1
.0053652.51333.5
.0054451.71313.2
.0055450.81290.3
.0056649.71262.4
.0058048.51231.9
.0059247.51206.5
.0060646.41178.6
.0062245.21148.1
.0063644.21122.7
.0065443.01092.2
.0066842.11069.3
.0068641.01041.4
.0069440.51028.7
.0072039.1993.1
.0074038.0965.2
.0076037.0939.8
.0078036.1916.9
.0080235.1891.5
.0082234.2868.7
.0085033.1840.7
.0087832.0812.8
.0090631.0787.4
.0092230.5774.7
.0093830.0762.0
.0096029.3744.2
.0098028.7729.0
.0100428.0711.2
.0102227.5698.5
.0104227.0685.8
.0106026.5673.1
.0108026.0660.4
.0111025.3642.6
.0113024.9632.5
.0117024.0609.6
.0120023.4594.4
.0124022.7576.6
.0128022.0558.8
.0131021.5546.1
.0136020.7525.8
.0140020.1510.5
.0143019.7500.4
.0148019.0482.6
.0154018.3464.8
.0157017.9454.7
.0161017.5444.5
.0165017.1434.3
.0170016.6421.6
.0175016.1408.9
.0180015.6396.2
.0186015.1383.5
.0191014.7373.4
.0198014.2360.7
.0204013.8350.5
.0210013.4340.4
.0216013.0330.2
.0225012.5317.5
.0234012.0304.8
.0245011.5292.1
.0256011.0279.4
.0268010.5266.7
.0281010.0254.0
.029609.5241.3
.031309.0228.6
.033108.5215.9
 
S13.
School bus mirror test procedures. The requirements of S9.1 through S9.4 shall be met when the vehicle is tested in accordance with the following conditions.
 
S13.1
The cylinders shall be a color which provides a high contrast with the surface on which the bus is parked.
 
S13.2
The cylinders are 0.3048 m high and 0.3048 m in diameter, except for cylinder P which is 0.9144 m high and 0.3048 m in diameter.
 
S13.3
Place cylinders at locations as specified in S13.3(a) through S13.3(g) and illustrated in Figure 2. Measure the distances shown in Figure 2 from a cylinder to another object from the center of the cylinder as viewed from above.
 
(a)
Place cylinders G, H, and I so that they are tangent to a transverse vertical plane tangent to the forward-most surface of the bus's front bumper. Place cylinders D, E, F so that their centers are located in a transverse vertical plane that is 1.8288 meters (6 feet) forward of a transverse vertical plane passing through the centers of cylinders G, H, and I. Place cylinders A, B, and C so that their centers are located in a transverse vertical plane that is 3.6576 meters (12 feet) forward of the transverse vertical plane passing through the centers of cylinders G, H, and I.
 
(b)
Place cylinders B, E, and H so that their centers are in a longitudinal vertical plane that passes through the bus's longitudinal centerline.
 
(c)
Place cylinders A, D, and G so that their centers are in a longitudinal vertical plane that is tangent to the most outboard edge of the left side of the bus's front bumper.
 
(d)
Place cylinders C, F, and I so that their centers are in a longitudinal vertical plane that is tangent to the most outboard edge of the right side of the bus's front bumper.
 
(e)
Place cylinder J so that its center is in a longitudinal vertical plane 0.3048 meters (1 foot) to the left of the longitudinal vertical plane passing through the centers of cylinders A, D, and G, and is in the transverse vertical plane that passes through the centerline of the bus's front axle.
 
(f)
Place cylinder K so that its center is in a longitudinal vertical plane 0.3048 meters (1 foot) to the right of the longitudinal vertical plane passing through the centers of cylinders C, F, and I, and is in the transverse vertical plane that passes through the centerline of the bus's front axle.
 
(g)
Place cylinders L, M, N, O, and P so that their centers are in the transverse vertical plane that passes through the centerline of the bus's rear axle. Place cylinder L so that its center is in a longitudinal vertical plane that is 1.8288 meters (6 feet) to the left of the longitudinal vertical plane tangent to the bus's most outboard left surface (excluding the mirror system). Place cylinder M so that its center is in a longitudinal vertical plane that is 0.3048 meters (1 foot) to the left of the longitudinal vertical plane tangent to the left side of the bus. Place cylinder N so that its center is in a longitudinal vertical plane that is 0.3048 meters (1 foot) to the right of the longitudinal vertical plane tangent to the right side of the bus. Place cylinder O so that its center is in a longitudinal vertical plane that is 1.8288 meters (6 feet) to the right of the longitudinal vertical plane tangent to the right side of the bus. Place cylinder P so that its center is in a longitudinal vertical plane that is 3.6576 meters (12 feet) to the right of the longitudinal vertical plane tangent to the right side of the bus.
 
S13.4
The driver's eye location is the eye location of a 25th percentile adult female, when seated in the driver's seat as follows:
 
(a)
The center point of the driver's eye location is the point located 68.58 centimeters (27 inches) vertically above the intersection of the seat cushion and the seat back at the longitudinal centerline of the seat.
 
(b)
Adjust the driver's seat to the midway point between the forward-most and rear-most positions, and if separately adjustable in the vertical direction, adjust to the lowest position. If an adjustment position does not exist at the midway point, use the closest adjustment position to the rear of the midpoint. If a seat back is adjustable, adjust the seat back angle to the manufacturer's nominal design riding position in accordance with the manufacturer's recommendations.
 
S13.5
Adjustable mirrors are adjusted before the test in accordance with the manufacturer's recommendations. Such mirrors are not moved or readjusted at any time during the test.

13.6 Place a 35 mm or larger format camera, or video camera, so that its image plane is located at the center point of the driver's eye location or at any single point within a semicircular area established by a 15.24 centimeter (6 inch) radius parallel to and forward of the center point (see figure 3). With the camera at any single location on or within that semicircle look through the camera and the windows of the bus and determine whether the entire top surface of each cylinder is directly visible.

S13.7 For each cylinder whose entire top surface is determined under paragraph 13.4 of this section not to be directly visible at the driver's eye location,

 
(a)
Place a comparison chart (see figure 4) above the mirror that provides the fullest view of the cylinder in situations where a cylinder is partially visible through more than one mirror.

The width of the bars in Figure 4 indicating three minutes of arc and nine minutes of arc are derived from the following formula:

For 3 minutes of arc:

X=D×0.000873,

Where:

X=the width of a line, in the unit of measurement D, representing 3 minutes of arc;

D=distance from center point of driver's eye location to the center of the mirror's surface; and

0.000873=tangent of 3 minutes of arc.

For 9 minutes of arc:

X=D×0.002618,

Where:

X=the width of a line, in the unit of measurement D, representing 9 minutes of arc;

D=distance from center point of driver's eye location to the center of the mirror's surface; and

0.002618=tangent of 9 minutes of arc.

 
(b)
Photograph each cylinder through the mirror(s) that provides a view of the cylinder. Photograph each cylinder with the camera located so that the view through its film or image plane is located at any single location within the semicircle established under 13.4, [POINT A,B,C, OR D] ensuring that the image of the mirror and comparison chart fill the camera's view finder to the extent possible.

13.8 Make all observations and take all photographs with the service/entry door in the closed position and the stop signal arm(s) in the fully retracted position.

 
S14.
Rear visibility test procedure.
 
S14.1
Field of view and image size test procedure.
 
S14.1.1
Lighting. The ambient illumination conditions in which testing is conducted consists of light that is evenly distributed from above and is at an intensity of between 7,000 lux and 10,000 lux, as measured at the center of the exterior surface of the vehicle's roof.
 
S14.1.2
Vehicle conditions.
 
S14.1.2.1
Tires. The vehicle's tires are set to the vehicle manufacturer's recommended cold inflation pressure.
 
S14.1.2.2
Fuel tank loading. The fuel tank is full.
 
S14.1.2.3
Vehicle load. The vehicle is loaded to simulate the weight of the driver and four passengers or the designated occupant capacity, if less. The weight of each occupant is represented by 45 kg resting on the seat pan and 23 kg resting on the vehicle floorboard placed in the driver's designated seating position and any other available designated seating position.
 
S14.1.2.4
Rear hatch and trunk lids. If the vehicle is equipped with rear hatches or trunk lids, they are closed and latched in their normal vehicle operating condition.
 
S14.1.2.5
Driver's seat positioning.
 
S14.1.2.5.1
Adjust the driver's seat to the midpoint of the longitudinal adjustment range. If the seat cannot be adjusted to the midpoint of the longitudinal adjustment range, the closest adjustment position to the rear of the midpoint shall be used.
 
S14.1.2.5.2
Adjust the driver's seat to the lowest point of all vertical adjustment ranges present.
 
S14.1.2.5.3
Using the three dimensional SAE Standard J826 JUL95 (incorporated by reference, see §571.5) manikin, adjust the driver's seat back angle at the vertical portion of the H-point machine's torso weight hanger to 25 degrees. If this adjustment setting is not available, adjust the seat-back angle to the positional detent setting closest to 25 degrees in the direction of the manufacturer's nominal design riding position.
 
S14.1.3
Test object. Each test object is a right circular cylinder that is 0.8 m high and 0.3 m in external diameter. There are seven test objects, designated A through G, and they are marked as follows.
 
(a)
Test objects A, B, C, D, and E are marked with a horizontal band encompassing the uppermost 150 mm of the side of the cylinder.
 
(b)
Test objects F and G are marked on the side with a solid vertical stripe of 150 mm width extending from the top to the bottom of each cylinder.
 
(c)
Both the horizontal band and vertical stripe shall be of a color that contrasts with both the rest of the cylinder and the test surface.
 
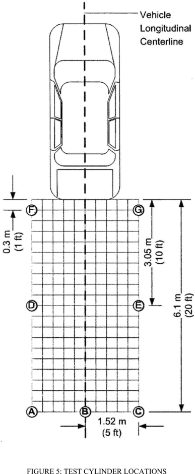
S14.1.4
Test object locations and orientation. Place the test objects at locations specified in S14.1.4(a)-(f) and illustrated in Figure 5. Measure the distances shown in Figure 5 from a test object to another test object or other object from the cylindrical center (axis) of the test object as viewed from above. Each test object is oriented so that its axis is vertical.
 
(a)
Place test objects F and G so that their centers are in a transverse vertical plane that is 0.3 m to the rear of a transverse vertical plane tangent to the rearmost surface of the rear bumper.
 
(b)
Place test objects D and E so that their centers are in a transverse vertical plane that is 3.05 m to the rear of a transverse vertical plane tangent to the rearmost surface of the rear bumper.
 
(c)
Place test objects A, B and C so that their centers are in a transverse vertical plane that is 6.1 m to the rear of a transverse vertical plane tangent to the rearmost surface of the rear bumper.
 
(d)
Place test object B so that its center is in a longitudinal vertical plane passing through the vehicle's longitudinal centerline.
 
(e)
Place test objects C, E, and G so that their centers are in a longitudinal vertical plane located 1.52 m, measured laterally and horizontally, to the right of the vehicle longitudinal center line.
 
(f)
Place test objects A, D, and F so that their centers are in a longitudinal vertical plane located 1.52 m, measured laterally and horizontally, to the left of the vehicle longitudinal center line.
 
S14.1.5
Test reference point. Obtain the test reference point using the following procedure.
 
(a)
Locate the center of the forward-looking eye midpoint (Mf) illustrated in Figure 6 so that it is 635 mm vertically above the H point (H) and 96 mm aft of the H point.
 
(b)
Locate the head/neck joint center (J) illustrated in Figure 6 so that it is 100 mm rearward of Mf and 588 mm vertically above the H point.
 
(c)
Draw an imaginary horizontal line between Mf and a point vertically above J, defined as J2.
 
(d)
Rotate the imaginary line about J2 in the direction of the rearview image until the straight-line distance between Mf and the center of the display used to present the rearview image required in this standard reaches the shortest possible value.
 
(e)
Define this new, rotated location of Mf to be Mr (eye midpoint rotated).
 
S14.1.6
Display adjustment. If the display is mounted with a rotational adjustment mechanism, adjust the display such that the surface of the display is normal to the imaginary line traveling through Mr and J2 or as near to normal as the display adjustment will allow.
 
S14.1.7
Steering wheel adjustment. The steering wheel is adjusted to the position where the longitudinal centerline of all vehicle tires are parallel to the longitudinal centerline of the vehicle. If no such position exists, adjust the steering wheel to the position where the longitudinal centerline of all vehicle tires are closest to parallel to the longitudinal centerline of the vehicle.
 
S14.1.8
Measurement procedure.
 
(a)
Locate a 35 mm or larger format still camera, video camera, or digital equivalent such that the center of the camera's image plane is located at Mr and the camera lens is directed at the center of the display's rearview image.
 
(b)
Affix a ruler at the base of the rearview image in an orientation perpendicular with a test object cylinder centerline. If the vehicle head restraints obstruct the camera's view of the display, they may be adjusted or removed.
 
(c)
Photograph the image of the visual display with the ruler included in the frame and the rearview image displayed.
 
S14.1.8.1
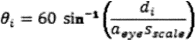
Extract photographic data.
 
(a)
Using the photograph, measure the apparent length, of a 50 mm delineated section of the in-photo ruler, along the ruler's edge, closest to the rearview image and at a point near the horizontal center of the rearview image.
 
(b)
Using the photograph, measure the horizontal width of the colored band at the upper portion of each of the three test objects located at positions A, B, and C in Figure 5.
 
(c)
Define the measured horizontal widths of the colored bands of the three test objects as da, db, and dc.
 
S14.1.8.2
Obtain scaling factor. Using the apparent length of the 50 mm portion of the ruler as it appears in the photograph, divide this apparent length by 50 mm to obtain a scaling factor. Define this scaling factor as sscale.
 
S14.1.8.3
Determine viewing distance. Determine the actual distance from the rotated eye midpoint location (Mr) to the center of the rearview image. Define this viewing distance as aeye.
 
S14.1.8.4
Calculate visual angle subtended by test objects. Use the following equation to calculate the subtended visual angles:

where i can take on the value of either test object A, B, or C, and arcsine is calculated in units of degrees.

 
S14.2
Image response time test procedure. The temperature inside the vehicle during this test is any temperature between 15 °C and 25 °C. Immediately prior to commencing the actions listed in subparagraphs (a)-(c) of this paragraph, all components of the rear visibility system are in a powered off state. Then:
 
(a)
Open the driver's door to any width,
 
(b)
Close the driver's door
 
(c)
Activate the starting system using the key, and
 
(d)
Select the vehicle's reverse direction at any time not less than 4.0 seconds and not more than 6.0 seconds after the driver's door is opened. The driver door is open when the edge of the driver's door opposite of the door's hinge is no longer flush with the exterior body panel.
 
S14.3
Durability test procedures. For the durability tests specified in S14.3.1, S14.3.2, and S14.3.3, the external components are mounted on an environmental test fixture.
 
S14.3.1
Corrosion test procedure. The external components are subjected to two 24-hour corrosion test cycles. In each corrosion test cycle, the external components are subjected to a salt spray (fog) test in accordance with ASTM B117-03 (incorporated by reference, see §571.5) for a period of 24 hours. Allow 1 hour to elapse without spray between the two test cycles.
 
S14.3.2
Humidity exposure test procedure. The external components are subjected to 24 consecutive 3-hour humidity test cycles. In each humidity test cycle, external components are subjected to a temperature of 100° +7° −0  °F (38° +4° −0 °C) with a relative humidity of not less than 90% for a period of 2 hours. After a period not to exceed 5 minutes, the external components are subjected to a temperature of 32° +5° −0  °F (0° +3° −0 °C) and a humidity of not more than 30% ± 10% for 1 hour. Allow no more than 5 minutes to elapse between each test cycle.
 
S14.3.3
Temperature exposure test procedure. The external components are subjected to 4 consecutive 2-hour temperature test cycles. In each temperature test cycle, the external components are first subjected to a temperature of 176° ± 5  °F (80° ± 3 °C) for a period of one hour. After a period not to exceed 5 minutes, the external components are subjected to a temperature of 32° +5° −0  °F (0° +3° -0 °C) for 1 hour. Allow no more than 5 minutes to elapse between each test cycle.
 
S15.
Rear visibility phase-in schedule. For the purposes of the requirements in S15.1 through S15.7, production year means the 12-month period between May 1 of one year and April 30 of the following year, inclusive.
 
S15.1
Vehicles manufactured on or after May 1, 2016 and before May 1, 2018. At any time during or after the production years ending April 30, 2017 and April 30, 2018, each manufacturer shall, upon request from the Office of Vehicle Safety Compliance, provide information identifying the vehicles (by make, model and vehicle identification number) that have been certified as complying with S5.5.1 or S6.2.1 of this standard. The manufacturer's designation of a vehicle as a certified vehicle is irrevocable.
 
S15.2
Vehicles manufactured on or after May 1, 2016 and before May 1, 2017. Except as provided in S15.4, for passenger cars, multipurpose passenger vehicles, trucks, buses, and low-speed vehicles with a GVWR of 4,536 kg or less, manufactured by a manufacturer on or after May 1, 2016, and before May 1, 2017, the number of such vehicles complying with S5.5.1 or S6.2.1 shall be not less than 10 percent of the manufacturer's —
 
(a)
Production of such vehicles during that period; or
 
(b)
Average annual production of such vehicles manufactured in the three previous production years.
 
S15.3
Vehicles manufactured on or after May 1, 2017 and before May 1, 2018. Except as provided in S15.4, for passenger cars, multipurpose passenger vehicles, trucks, buses, and low-speed vehicles with a GVWR of 4,536 kg or less, manufactured by a manufacturer on or after May 1, 2017, and before May 1, 2018, the number of such vehicles complying with S5.5.1 or S6.2.1 shall be not less than 40 percent of the manufacturer's —
 
(a)
Production of such vehicles during that period; or
 
(b)
Average annual production of such vehicles manufactured in the three previous production years.
 
S15.4
Exclusions from phase-in. The following vehicles shall not be subject to the requirements in S15.1 through S15.3 but shall achieve full compliance with this standard at the end of the phase-in period in accordance with S5.5(b) and S6.2(b):
 
(a)
Vehicles that are manufactured by small manufacturers or by limited line manufacturers.
 
(b)
Vehicles that are altered (within the meaning of 49 CFR 567.7) before May 1, 2017, after having been previously certified in accordance with part 567 of this chapter, and vehicles manufactured in two or more stages before May 1, 2018.
 
S15.5
Vehicles produced by more than one manufacturer. For the purpose of calculating average annual production of vehicles for each manufacturer and the number of vehicles manufactured by each manufacturer under S15.1 through S15.3, a vehicle produced by more than one manufacturer shall be attributed to a single manufacturer as follows, subject to S15.6 —
 
(a)
A vehicle that is imported shall be attributed to the importer.
 
(b)
A vehicle manufactured in the United States by more than one manufacturer, one of which also markets the vehicle, shall be attributed to the manufacturer that markets the vehicle.
 
S15.6
A vehicle produced by more than one manufacturer shall be attributed to any one of the vehicle's manufacturers specified by an express written contract, reported to the National Highway Traffic Safety Administration under 49 CFR part 585, between the manufacturer so specified and the manufacturer to which the vehicle would otherwise be attributed under S15.5.
 
S15.7
Calculation of complying vehicles.
 
(a)
For the purposes of calculating the vehicles complying with S15.2, a manufacturer may count a vehicle if it is manufactured on or after May 1, 2016 but before May 1, 2017.
 
(b)
For purposes of complying with S15.3, a manufacturer may count a vehicle if it is manufactured on or after May 1, 2017 but before May 1, 2018 and,
 
(c)
For the purposes of calculating average annual production of vehicles for each manufacturer and the number of vehicles manufactured by each manufacturer, each vehicle that is excluded from having to meet the applicable requirement is not counted.

[41 FR 36025, Aug. 26, 1976, as amended at 41 FR 56813, Dec. 30, 1976; 47 FR 38700, Sept. 2, 1982; 48 FR 38844, Aug. 26, 1983; 48 FR 40262, Sept. 6, 1983; 56 FR 58516, Nov. 20, 1991; 57 FR 57015, Dec. 2, 1992; 58 FR 60402, Nov. 16, 1993; 60 FR 15692, Mar. 27, 1995; 63 FR 28929-28931, May 27, 1998; 63 FR 51000, Sept. 24, 1998; 69 FR 18497, Apr. 8, 2004; 77 FR 758, Jan. 6, 2012; 79 FR 19243, Apr. 7, 2014]

   Reason: