Login required to View Regulations

Sign In or Register Now.  Registration is fast and free!

 
§391.43 —  Medical examination; certificate of physical examination
 
(a)
Except as provided by paragraph (b) of this section, the medical examination must be performed by a medical examiner listed on the National Registry of Certified Medical Examiners under subpart D of part 390 of this chapter.
 
(b)
Exceptions:
 
(1)
A licensed optometrist may perform so much of the medical examination as pertains to visual acuity, field of vision, and the ability to recognize colors as specified in paragraph (10) of §391.41(b).
 
(2)
A certified VA medical examiner must only perform medical examinations of veteran operators.
 
(c)
Medical examiners shall:
 
(1)
Be knowledgeable of the specific physical and mental demands associated with operating a commercial motor vehicle and the requirements of this subpart, including the medical advisory criteria prepared by the FMCSA as guidelines to aid the medical examiner in making the qualification determination; and
 
(2)
Be proficient in the use of and use the medical protocols necessary to adequately perform the medical examination required by this section.
 
(d)
Any driver authorized to operate a commercial motor vehicle within an exempt intracity zone pursuant to §391.62 of this part shall furnish the examining medical examiner with a copy of the medical findings that led to the issuance of the first certificate of medical examination which allowed the driver to operate a commercial motor vehicle wholly within an exempt intracity zone.
 
(e)
[Reserved]
 
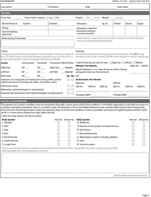
(f)
The medical examination shall be performed, and its results shall be recorded on the Medical Examination Report Form, MCSA-5875, set out in this paragraph (f):

Visit www.dotcfr.com to download a full-size PDF of these forms

Visit www.dotcfr.com to download a full-size PDF of these forms

 
(g)
Upon completion of the medical examination required by this subpart:
 
(1)
The medical examiner must date and sign the Medical Examination Report and provide his or her full name, office address, and telephone number on the Report.
 
(2)
 
(i)
Before June 23, 2025, if the medical examiner finds that the person examined is physically qualified to operate a commercial motor vehicle in accordance with §391.41(b), he or she must complete a certificate in the form prescribed in paragraph (h) of this section and furnish the original to the person who was examined. The examiner must provide a copy to a prospective or current employing motor carrier who requests it.
 
(ii)
On or after June 23, 2025, if the medical examiner identifies that the person examined will not be operating a commercial motor vehicle that requires a commercial driver's license or a commercial learner's permit and finds that the driver is physically qualified to operate a commercial motor vehicle in accordance with §391.41(b), he or she must complete a certificate in the form prescribed in paragraph (h) of this section and furnish the original to the person who was examined. The examiner must provide a copy to a prospective or current employing motor carrier who requests it.
 
(3)
On or after June 23, 2025, if the medical examiner finds that the person examined is not physically qualified to operate a commercial motor vehicle in accordance with §391.41(b), he or she must inform the person examined that he or she is not physically qualified, and that this information will be reported to FMCSA. All medical examiner's certificates previously issued to the person are not valid and no longer satisfy the requirements of §391.41(a).
 
(4)
Beginning December 22, 2015, if the medical examiner finds that the determination of whether the person examined is physically qualified to operate a commercial motor vehicle in accordance with §391.41(b) should be delayed to receive additional information or to conduct further examination in order for the medical examiner to make such determination, he or she must inform the person examined that the additional information must be provided or the further examination completed within 45 days, and that the pending status of the examination will be reported to FMCSA.
 
(5)
 
(i)
 
[A]
Once every calendar month, beginning May 21, 2014 and ending on June 22, 2018, the medical examiner must electronically transmit to FMCSA, via a secure Web account on the National Registry, a completed CMV Driver Medical Examination Results Form, MCSA-5850. The Form must include all information specified for each medical examination conducted during the previous month for any driver who is required to be examined by a medical examiner listed on the National Registry of Certified Medical Examiners.
 
[B]
Beginning June 22, 2018 by midnight (local time) of the next calendar day after the medical examiner completes a medical examination for any driver who is required to be examined by a medical examiner listed on the National Registry of Certified Medical Examiners, the medical examiner must electronically transmit to FMCSA, via a secure FMCSA-designated website, a completed CMV Driver Medical Examination Results Form, MCSA-5850. The Form must include all information specified for each medical examination conducted for each driver who is required to be examined by a medical examiner listed on the National Registry of Certified Medical Examiners in accordance with the provisions of this subpart, and should also include information for each driver who is required by a State to be examined by a medical examiner listed on the National Registry of Certified Medical Examiners in accordance with the provisions of this subpart E and any variances from those provisions adopted by such State.
 
(ii)
Beginning on June 22, 2015, if the medical examiner does not perform a medical examination of any driver who is required to be examined by a medical examiner listed on the National Registry of Certified Medical Examiners during any calendar month, the medical examiner must report that fact to FMCSA, via a secure FMCSA-designated website, by the close of business on the last day of such month.
 
(h)
The medical examiner's certificate shall be completed in accordance with the following Form MCSA-5876, Medical Examiner's Certificate:

Visit www.dotcfr.com to download a full-size PDF of this form

 
(i)
Each original (paper or electronic) completed Medical Examination Report and a copy or electronic version of each medical examiner's certificate must be retained on file at the office of the medical examiner for at least 3 years from the date of examination. The medical examiner must make all records and information in these files available to an authorized representative of FMCSA or an authorized Federal, State, or local enforcement agency representative, within 48 hours after the request is made.

[35 FR 6460, Apr. 22, 1970]

Editorial Note: For Federal Register citations affecting §391.43, see the List of CFR Sections Affected, which appears in the Finding Aids section of the printed volume and at www.govinfo.gov.
 
§391.43 — DOT Regulatory Guidance
 
Question 1: May a motor carrier, for the purposes of §391.41, or a State driver licensing agency, for the purposes of §383.71, accept the results of a medical examination performed by a foreign medical examiner?

Guidance: Yes. Foreign drivers operating in the U.S. with a driver's license recognized as equivalent to the CDL may be medically certified in accordance with the requirements of part 391, subpart E, by a medical examiner in the driver's home country who is licensed, certified, and/or registered to perform physical examinations in that country. However, U.S. drivers operating in interstate commerce within the U.S. must be medically certified in accordance with part 391, subpart E, by a medical examiner licensed, certified, and/or registered to perform physical examinations in the U.S.

 
Question 2: May a urine sample collected for purposes of performing a subpart H test be used to test for diabetes as part of a driver's FHWA-required physical examination?

Guidance: In general, no. However, the DOT has recognized an exception to this general policy whereby, after 60 milliliters of urine have been set aside for subpart H testing, any remaining portion of the sample may be used for other nondrug testing, but only if such other nondrug testing is required by the FHWA (under part 391, subpart E) such as testing for glucose and protein levels.

 
Question 3: Is a chest x-ray required under the minimum medical requirements of the FMCSRs?

Guidance: No, but a medical examiner may take an x-ray if appropriate.

 
Question 4: Does §391.43 of the FMCSRs require that physical examinations of applicants for employment be conducted by medical examiners employed by or designated by the carrier?

Guidance: No.

 
Question 5: Does a medical certificate displaying a facsimile of a medical examiner's signature meet the "signature of examining health care professional" requirement?

Guidance: Yes.

 
Question 6: The driver's medical exam is part of the Mexican Licencia Federal. If a roadside inspection reveals that a Mexico-based driver has not had the medical portion of the Licencia Federal re-validated, is the driver considered to be without a valid medical certificate or without a valid license?

Guidance: The Mexican Licencia Federal is issued for a period of 10 years but must be re-validated every 2 years. A condition of re-validation is that the driver must pass a new physical examination. The dates for each re-validation are on the Licencia Federal and must be stamped at the completion of each physical. This constitutes documentation that the driver is medically qualified. Therefore, if the Licencia Federal is not re-validated every 2 years as specified by Mexican law, the driver's license is considered invalid.

 
Question 7: If a motor carriers ends a potential interstate driver to a medical examiner to have both a pre-employment medical examination and a pre-employment controlled substances test performed, how must the medical examiner conduct the medical examination including the certification the driver meets the physical qualifications of §391.41(b)?

Guidance: The medical examiner must complete the physical examination first without collecting the Part 382 controlled sub stances urine specimen. If the potential driver meets the requirements of Part 391, Subpart E [especially §391.41(b)] and the medical examiner chooses to certify the potential driver as qualified to operate commercial motor vehicles (CMV) in interstate commerce, the medical examiner may prepare the medical examiner's certificate.

After the medical examiner has completed the medical examiner's certificate and provided a copy to the potential driver and to the motor carrier who will use the potential driver's services, the medical examiner may collect the specimen for the 49 CFR Part 382 pre-employment controlled substances test. The motor carrier is held fully responsible for ensuring the potential driver is not used to operate CMVs until the carrier receives a verified negative controlled substances test result from the medical review officer. A Department of Transportation pre-employment controlled substances test is not a medical examination test.

   Reason: